cpu 실행 시간
프로그램을 수행하는데 순수하게 사용된 시간 ( I/O 작업 제외 )
성능이 높다는 말이 CPU 실행 시간이 짧다는 의미이다.

Ex) M1과 M2가 있을 때
M1에 대한 M2의 성능 비율은

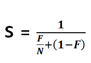
암달의 법칙
병렬화를 적용한 성능 향상은, 시스템의 순차적 시간에 의해 제한되는 것
즉, 아무리 병렬화를 해줘도, 한계가 있다.
M1을 일부 개선한 M2가 있을 때, M2의 실행 시간은

여기서 M은 약분이 되므로,

이 된다.
여기서 N은 성능 향상 크기
F는 영향을 받는 부분이다.
만약 N에 무한정으로 투자를 해 성능을 극대화 한다 해도.

고정된 순차적 시간 이상으론 최적화 할 수 없다.
Ex) 부동 소수점 연산의 수행 시간이 50%를 차지하는 프로그램이 있을 때,
2배 빠르게 수행할려면 수행 시간이 얼마나 향상되는지?

만약 n을 극대화 시킨다면 S는 2이고,
이는 하드웨어에 아무리 투자해도 전체 성능을 2배나 향상시킬 수 없단 뜻이 된다.
출처 : 컴퓨터 아키텍처 컴퓨터 구조 및 동작 원리 (한빛 아카데미)
'학교 > 컴퓨터 구조' 카테고리의 다른 글
| 2. 컴퓨터의 성능 (3/3) CPU 성능에 영향을 주는 요소 (0) | 2020.11.28 |
|---|---|
| 2. 컴퓨터의 성능 (2/3) CPU 성능 분석 (0) | 2020.11.28 |
| 11. 캐시 메모리 (3/4) 블록 교체, 갱신, 실패 (0) | 2020.11.26 |
| 11. 캐시 메모리 (2/4) 사상(mapping) (0) | 2020.11.26 |
| 11. 캐시 메모리 (1/4) 개요 (0) | 2020.11.26 |